Skip to product information
1 of 16

Excel Success One HSC Year 12 Mathematics Advanced (2025 Edition)

Excel Success One HSC Year 12 Mathematics Advanced (2025 Edition)

Regular price $41.95
Sale price $41.95 Regular price $41.95
Sale Sold out
Tax included. Shipping calculated at checkout.
Loading...

Written by top educators

Speedy next-day dispatch

Unbeatable local customer service

View full details

Description

This book includes:

  • 2016-2019 Past HSC Mathematics papers. To ensure productive use of your time, in each paper we have indicated which questions are not examinable in the Mathematics Advanced syllabus.
  • Bonus questions from the Mathematics Advanced syllabus. After every one of the 2016-2019 HSC past papers we provide you with lots of specially written questions on the new syllabus topics, such as Normal Distribution and Bivariate Date Analysis, to replace those questions that are no longer examinable in these papers. This will allow you to practise complete papers worth 100 marks for the Mathematics Advanced syllabus.
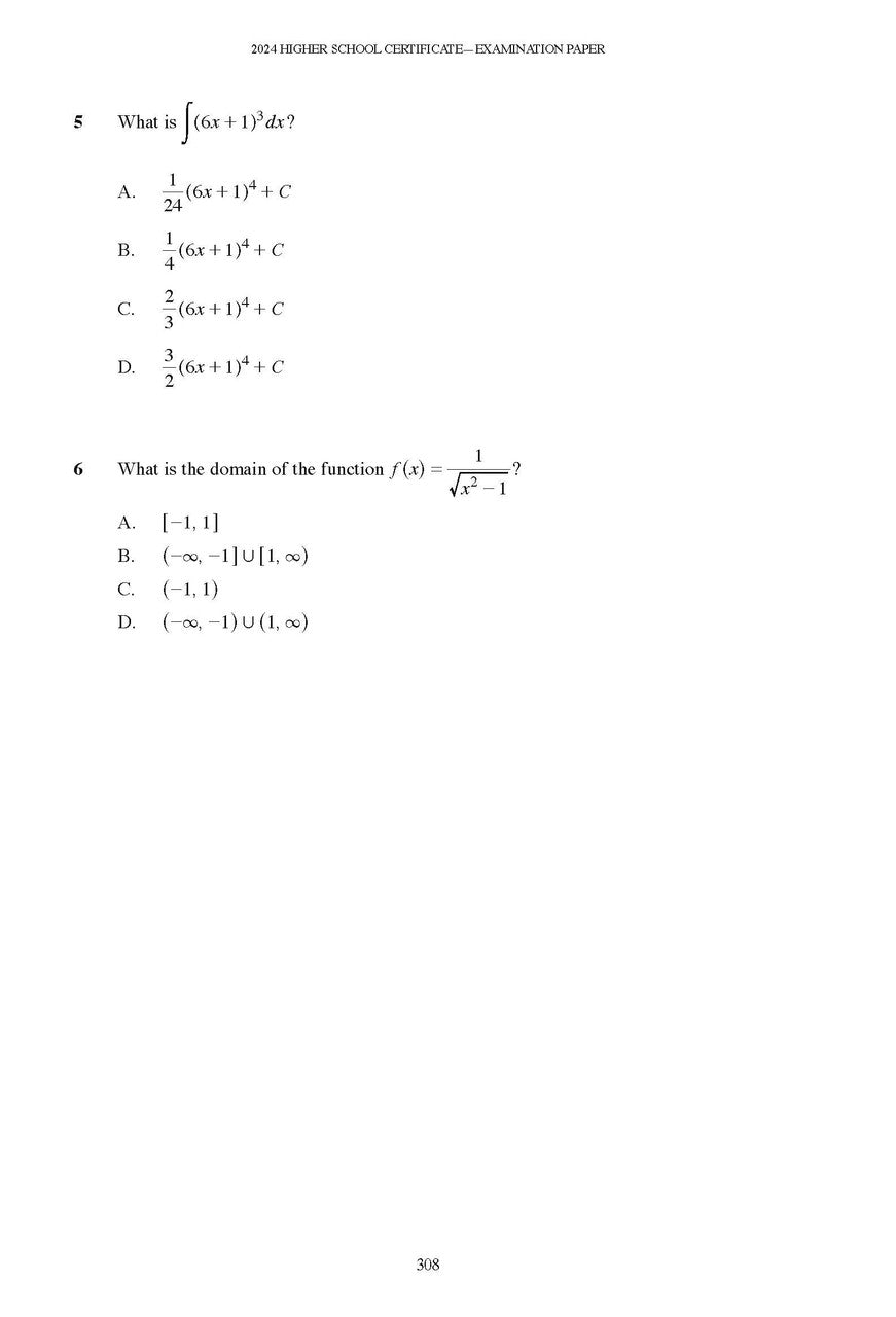
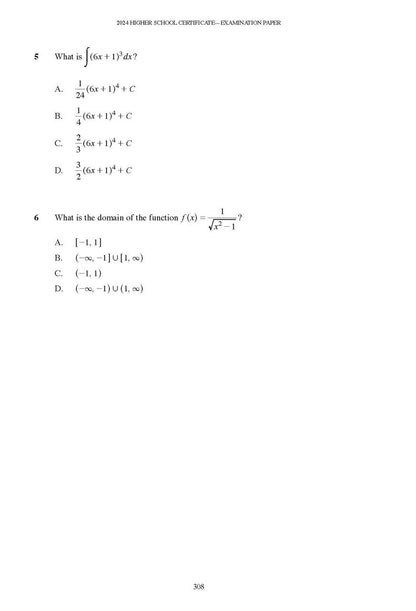
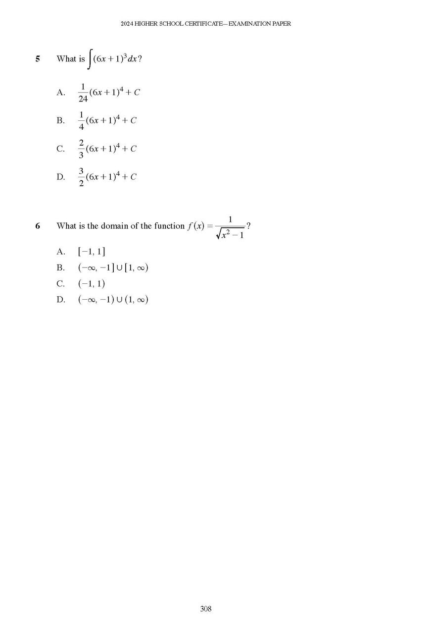
  • The 2020-2024 HSC Examination papers.
  • Worked answers for every question. These answers are detailed and easy to understand, and written by experience HSC markers.

1,000,000+
happy students
across AU

Joe
HSC Notes & Topic Tests

The Excel range has some of the best and most useful resources available for people studying HSC and those in junior years. They have excellent customer service and will help out if there are problems and good deals if you're looking to buy from them.

Hannah
QCE Notes & Text Guides

I absolutely love this brand! Their books are professional, well written and is perfect for all parents, teachers and students. Would highly recommend!

Yasmin
VCE Notes & Topic Tests

Highly recommend purchasing Excel resources! As a graduate teacher each resource provides endless amounts of support with different activities that cater for a range of needs along with all the tips and tricks for each year level.

Anne-Marie
QCE Notes

This is easy to use. Broken into six test papers in the different subject fields. Great opportunity for younger students to experience NAPLAN style questioning. Answers are provided and explanations to help improve understanding for future improvement.

Laxmi
Text Guides

The revision workbook comes in handy for the exam preparations. Also the questions at the end of each topic to go through is a good revision to recall what was learnt in that topic.

Sam
Text Guides

We have been using workbooks from the Excel range for our children to help them with revision of certain subjects such as English and Maths. They really enjoy the activities provided and as a parent I am really impressed with their fabulous range of options available.